Egy magyar kutatócsoport új kozmológiai modellje szerint az univerzum gyorsuló tágulása nem igényel rejtélyes sötét energiát, ha a világegyetem „foltokban” tágul. Az iEdS modell egyszerre illeszkedik a főbb kozmológiai megfigyelésekhez, és megoldást kínál a modern kozmológia egyik legnagyobb problémájára, a Hubble-feszültségre.
A modern kozmológia sikertörténete az úgynevezett Lambda-CDM modell, amely szerint a világegyetem nagy léptékben homogén, vagyis mindenütt átlagosan ugyanolyan. Ebben a képben az univerzum tágulását kezdetben az anyag fékezte, ám 5-6 milliárd éve egy titokzatos összetevő, a „sötét energia” vette át fokozatosan az irányítást, és azóta a tágulás gyorsul. Ez a modell meglepően jól leír számos kozmikus megfigyelést, a háttérsugárzástól a galaxisok eloszlásáig, a sötét energia azonban mindmáig ismeretlen: nem tudjuk, miből áll, mi a természete és miért éppen most vált meghatározóvá.
A Lambda-CDM modell egy komoly belső feszültséggel is küzd. Ez az úgynevezett Hubble-feszültség, amely abból fakad, hogy a világegyetem tágulási ütemét (a Hubble-állandót) különböző megfigyelések eltérő értékre becsülik. A korai univerzum lenyomatából – például a kozmikus mikrohullámú háttérsugárzásból – számolt érték szisztematikusan kisebb, mint amit a közeli világegyetemben, szupernóvák segítségével mérünk. A különbség nem magyarázható egyszerű mérési hibával, és mára a kozmológia egyik legégetőbb problémájává vált.
Mindez arra utalhat, hogy a világegyetemről alkotott képünkben még hiányzik egy fontos elem.
Az inhomogén univerzum új perspektívája
A Dr. Raffai Péter, az ELTE asztrofizikusa által vezetett magyar kutatócsoport új tanulmánya megoldást kínálhat a fenti problémákra. Elméletük szerint az univerzum tágulását leíró egyenletekben megjelenik egy, a rejtélyes „sötét energiára” emlékeztető tag, ha a folyamat valójában kisebb homogén régiók tágulásának összjátékaként áll elő. A „foltos” – szaknyelven inhomogén Einstein-de Sitter, röviden iEdS – univerzum kozmológiai modellje szerint ezeknek a régióknak nem kell az univerzum egészét hézagmentesen kitölteniük, elegendő, ha a térfogatának döntő részét adják.
„A homogén régiók sajátossága, hogy bennük az anyag és a térgörbület egymástól szétváltan fejlődhet – magyarázta Raffai Péter. – A kettő közötti kapcsolatot a régiók önálló tágulása teremti meg.”
A sűrűbb, pozitív görbületű régiók tágulása lassabb, míg a ritkább, negatív görbületű régiók térfogata gyorsabban nő. A globális tágulás szempontjából, ahogy az össztérfogat mind nagyobb hányadát adják, egyre inkább a ritka régiók válnak meghatározóvá, a folyamat eredményeként pedig a globális térgörbület egyre negatívabbá válik.
„Ez újszerű eredmény a teljesen homogén univerzum megszokott dinamikájához képest, ahol a globális térgörbület állandó, és nem alakulhat át pozitív vagy nulla értékből negatívvá” – tette hozzá a kutató.
Gyorsulás, sötét energia nélkül
A foltokban tágulásnak egy másik, még meglepőbb – ám érthető – hatása is van. Egy állandó negatív térgörbületű univerzum egyenletesen tágul, amikor az anyag a hígulása miatt már elveszítette meghatározó szerepét. Azonban, ha az anyag dominanciavesztése közben a térgörbület egyre negatívabb, akkor a tágulás gyorsul, de „sötét energia” nélkül. A gyorsuló tágulás viszont átmeneti jelenség, a foltokban táguló univerzum szintén egyenletes ütemű tágulás felé tart.
„Egy ilyen világegyetemnek külön érdekessége, hogy nincs végleg áthatolhatatlan horizontja. Vagyis az emberiség számára az egész világegyetem belátható, és akár be is utazható” – mutatott rá Raffai Péter, hogy milyen izgalmas lehetőségeket is rejt ez az elmélet.
Összhangban a megfigyelésekkel
Az iEdS-univerzum kozmológiai modellje a tágulás korai, még globálisan is homogén szakaszában azonos folyamatokat feltételez, mint a ma használt standard kozmológia, a Lambda-CDM modell. Az új modellben ezért a kozmikus mikrohullámú sugárzás és a könnyű kémiai elemek keletkezése – és feltéve, hogy megtörtént, úgy a kozmikus infláció is – a már ismert módokon zajlik.
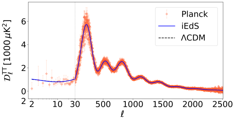
Az iEdS modell mellett szól az is, hogy olyan további, az univerzum szerkezetével és tágulásával összefüggő jelenségeket is, mint a kozmikus háttérsugárzás, az ún. barionakusztikus oszcillációk és az Ia típusú szupernóvák, a Hubble-feszültség nélkül képes megmagyarázni. Az iEdS modell további erőssége, hogy az univerzum kora benne mindössze 1%-kal (130 millió évvel) kisebb a standard modell értékénél. Ez a kor 13,67 milliárd év, ami összhangban van a tágulástörténettől független becslésekkel.
Raffai Péter elmondta, hogy a foltokban homogén univerzum (iEdS) modellje kedvező szakmai fogadtatást kapott, a Physical Review D folyóirat megjelenésre elfogadta az erről szóló cikket. Ez egyben azt is jelenti, hogy az elmélet további alapos vizsgálatok elé néz a jövőben.
A kutatást a HUN-REN Magyar Kutatási Hálózat, valamint a Nemzeti Kutatási, Fejlesztési és Innovációs Hivatal a Tématerületi Kiválósági Programon (TKP2021-NKTA-64) keresztül támogatta.
A tanulmány elérhető az arXiv repozitóriumban:
Raffai, P., Kis, D. E. R., Ködmön, D. A., Pataki, A., Böttger, R. L., Dálya, G.; „Case for an Inhomogeneous Einstein-de Sitter Universe”, arXiv e-prints, arXiv:2511.03288 (2025) https://arxiv.org/abs/2511.03288





